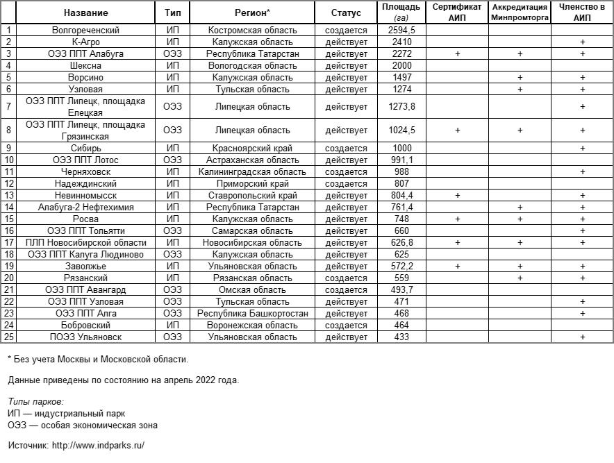
Справка: индустриальные парки РФ (ТОП-25) – Склады и грузовые терминалы – АТИ, Центр: Система грузоперевозок