← Логистика, грузы

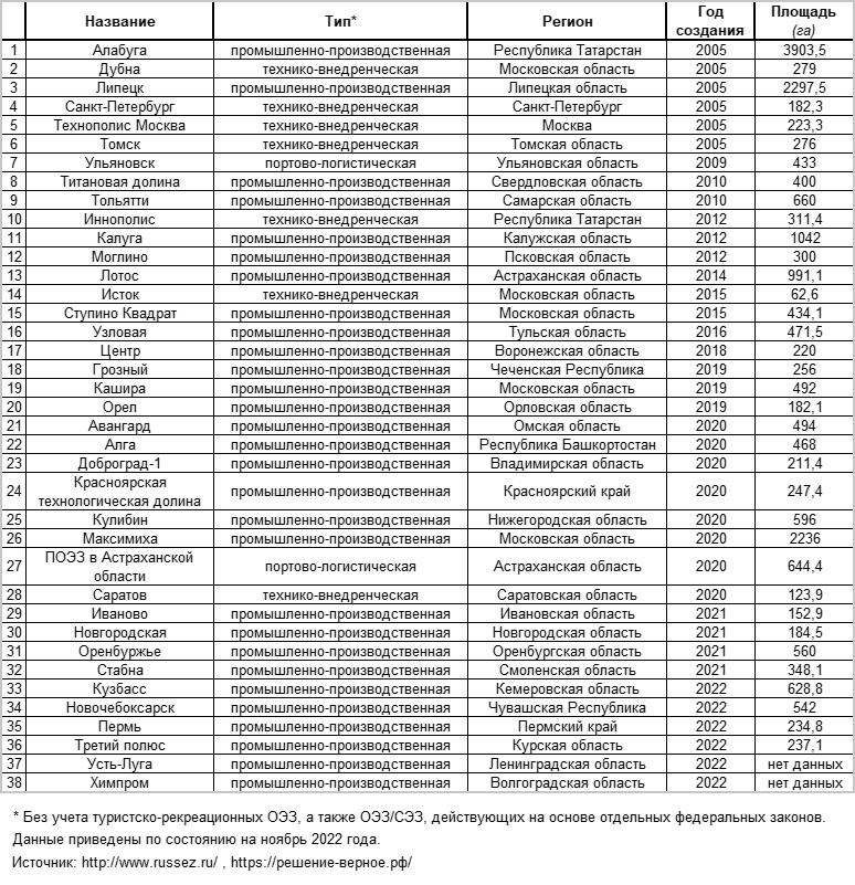
Справка: особые экономические зоны РФ