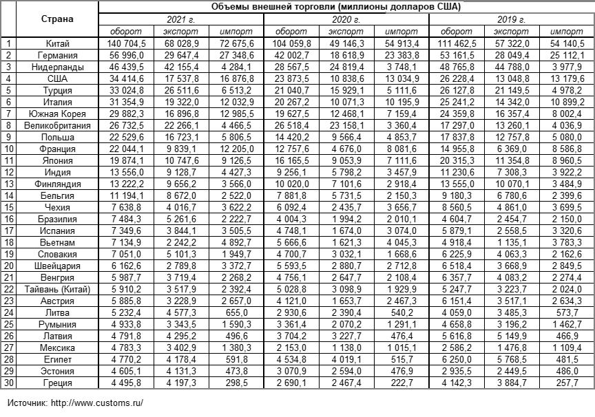
Справка: товарооборот РФ со странами дальнего зарубежья (ТОП-30) – Таможня и ВЭД – АТИ, Центр: Система грузоперевозок